Trình duyệt của bạn đã tắt chức năng hỗ trợ JavaScript.
Website chỉ làm việc khi bạn bật nó trở lại.
Để tham khảo cách bật JavaScript, hãy click chuột
vào đây
!
Trang nhất
Giới thiệu
Tổ chức nhà trường
Tuyển sinh
Lịch làm việc tuần
Thống kê
CÔNG KHAI
Kho học liệu
Thông tin covid-19
Tin cập nhật từ Sở Y tế
Bản đồ cập nhật tình hình dịch bệnh covid-19
Liên hệ
Sơ đồ cổng
RSS
Liên hệ
Đăng nhập
Chúng tôi trên mạng xã hội
Chúng tôi trên mạng xã hội
Trường THCS Nguyễn Thị Minh Khai
Giới thiệu
Tổ chức nhà trường
Tuyển sinh
Lịch làm việc tuần
Thống kê
CÔNG KHAI
Kho học liệu
Thông tin covid-19
Tin cập nhật từ Sở Y tế
Bản đồ cập nhật tình hình dịch bệnh covid-19
Liên hệ
Trang nhất
Sự kiện nhà trường
Tin nhà trường
Đăng nhập
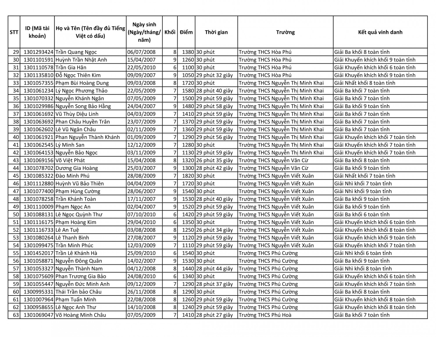
Kết quả Cuộc thi IOE vòng tỉnh năm học 2021-2022
Thứ năm - 07/04/2022 11:14
Tổng số điểm của bài viết là: 0 trong 0 đánh giá
Click để đánh giá bài viết
Ý kiến bạn đọc
Sắp xếp theo bình luận mới
Sắp xếp theo bình luận cũ
Sắp xếp theo số lượt thích
Bạn cần đăng nhập với tư cách là
Thành viên chính thức
để có thể bình luận
Những tin mới hơn
Kết quả kỳ thi học sinh giỏi THCS cấp Tỉnh năm học 2021-2022
(07/04/2022)
Thông báo Test nhanh Covit Hội đồng thi Tiếng Anh tăng cường lớp 6
(31/05/2022)
Lễ khai giảng năm học 2022 - 2023
(05/09/2022)
THƯ NGỎ
(22/09/2022)
Thông báo các khoản thu đầu năm
(24/09/2022)
Tuần lễ hưởng ứng học tập suốt đời năm 2022
(07/10/2022)
SINH HOẠT CHUYÊN ĐỀ: "TÌM HIỂU TRUYỀN THỐNG NHÀ TRƯỜNG"
(17/10/2022)
Hội nghị cán bộ, viên chức năm 2022 - 2023
(06/11/2022)
HỌP MẶT CHÀO MỪNG KỶ NIỆM 40 NĂM NGÀY NHÀ GIÁO VIỆT NAM (20/11/1982 - 20/11/2022)
(20/11/2022)
Sinh hoạt ngoại khóa: Vui học Toán
(22/11/2022)
LỄ HỘI PHỐ XUÂN VÀ CHƯƠNG TRÌNH THẮP SÁNG ƯỚC MƠ MỪNG ĐẢNG MỪNG XUÂN QUÝ MÃO 2023
(18/01/2023)
THÔNG BÁO VỀ VIỆC THU HỌC PHÍ NĂM HỌC 2022 - 2023
(08/02/2023)
Lễ tổng kết và phát thưởng năm học 2022 - 2023
(25/05/2023)
Lễ khai giảng năm học 2023 - 2024
(05/09/2023)
TẬP HUẤN CÀI ĐẶT CHỮ KÝ SỐ CHUYÊN DỤNG HSM
(06/10/2023)
Tuyên truyền phòng chống cháy nổ
(09/10/2023)
Thông báo đã có bằng tốt nghiệp THCS năm học 2022 - 2023
(12/01/2024)
Hành trình về địa chỉ đỏ "Địa đạo Củ Chi" kết hợp Lễ kết nạp Đoàn viên mới và tham quan học tập trải nghiệm tại khu du lịch sinh thái Green Land Fram
(01/04/2024)
Phiên tòa giả định phòng, chồng ma túy và tác hại của thuốc lạ điện tử
(02/04/2024)
Thông báo Lịch kiểm tra HKII khối 6,7,8 năm học 2023-2024
(02/05/2024)
Những tin cũ hơn
Thông báo đã có bằng tốt nghiệp THCS năm học 2020-2021
(07/04/2022)
Hướng dẫn thủ tục chuyển trường
(07/03/2022)
Trao quà tết cho học sinh có hoàn cảnh khó khăn trong năm học 2021-2022
(29/01/2022)
Trường THCS Nguyễn Thị Minh Khai tổ chức xét nghiệm, tầm soát Covid-19 (test nhanh) cho giáo viên và học sinh khối lớp 7,8 chuẩn bị trở lại trường học tập trong trạng thái bình thường mới
(16/01/2022)
Trường THCS Nguyễn Thị Minh Khai tổ chức xét nghiệm, tầm soát Covid-19 (test nhanh) cho giáo viên và học sinh khối lớp 9 chuẩn bị trở lại trường học tập trong trạng thái bình thường mới
(24/12/2021)
Thông báo lịch tiêm ngừa cho học sinh khối 7
(19/11/2021)
Trao tặng thiết bị học trực tuyến cho học sinh có hoàn cảnh khó khăn NH 2021-2022
(03/10/2021)
Lễ khai giảng năm học 2021 - 2022
(15/09/2021)
Thanh xuân là cống hiến
(01/08/2021)
Nhật ký của F1 - Bị cách ly nhưng không xa lánh
(01/08/2021)
Chiếc áo bảo hộ màu xanh
(01/08/2021)
Thanh niên tình nguyện
(01/08/2021)
Hướng dẫn phòng, chống dịch Covid-19 tại nhà trường và thông điệp 5k
(21/02/2021)
Bóng đá chào mừng ngày thành lập đoàn TNCS HCM 26/3 năm 2020-2021
(05/01/2021)
Kết nạp Đảng viên mới
(24/11/2020)
Họp mặt ngày 20/11
(24/11/2020)
Sinh hoạt ngoại khóa: Vui Để học tổ toán
(17/11/2020)
Đại hội liên đội nhiệm kỳ 2020 - 2021
(17/11/2020)
Chuyên đề : An toàn giao thông
(26/10/2020)
Hội nghị cán bộ viên chức năm 2020 -2021
(26/10/2020)
Liên kết web
Liên kết web
-> Chính phủ
-> Bộ Giáo dục và Đào tạo
-> Chuyên trang E-Learning
-> Tài nguyên EduNet
-> Cổng thông tin tập huấn chuyên môn - Hội nghị trực tuyến
-> Trang Thông tin Kỳ thi THPT Quốc Gia 2015
Hệ thống nghiệp vụ
Cơ sở dữ liệu ngành
Cổng thông tin quản lý trường học
Họp trực tuyến
Tuyển sinh đầu cấp
Kho học liệu số
Văn bản
Công văn
Tài nguyên
Trắc nghiệm trực tuyến
Tra cứu điểm
Thời khóa biểu
Video clips
Albums
Nội quy nhà trường
Mỗi ngày một quyển sách
Truyền hình giáo dục
Thăm dò ý kiến
Bạn chọn hình thức thanh toán không dùng tiền mặt nào để thanh toán các khoản phí quy định của nhà trường?
Thanh toán tích hợp mã QR trong ứng dụng Sisap -Dịch vụ chia sẻ thông tin Nhà trường - Phụ huynh
Thanh toán qua mã Sisap trên MobileBanking của Ngân hàng BIDV, Vietcombank
Thanh toán qua mã QRcode trên MobileBanking của Ngân hàng BIDV, Vietcombank
Thanh toán qua Internet Banking đến tải khoản Ngân hàng nhà trường
Thống kê truy cập
Đang truy cập
16
Hôm nay
1,326
Tháng hiện tại
59,357
Tổng lượt truy cập
3,998,570
Bạn đã không sử dụng Site,
Bấm vào đây để duy trì trạng thái đăng nhập
. Thời gian chờ:
60
giây
×
Giới thiệu bài viết cho bạn bè
Chúng tôi trên mạng xã hội