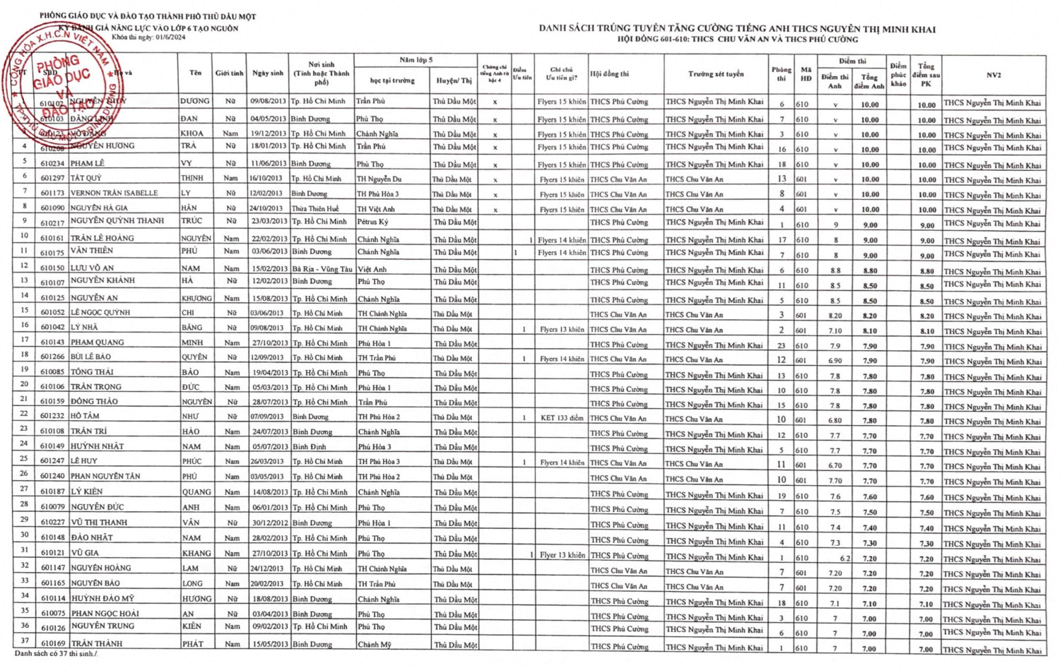
Danh sách trúng tuyển lớp 6 Tiếng Anh tăng cường năm học 2024 - 2025

Thứ tư - 07/08/2024 16:42
TATC (1) min
File đính kèm

Tổng số điểm của bài viết là: 0 trong 0 đánh giá

Click để đánh giá bài viết

  Ý kiến bạn đọc

Những tin mới hơn

Những tin cũ hơn

Truyền hình giáo dục
Thăm dò ý kiến

Bạn chọn hình thức thanh toán không dùng tiền mặt nào để thanh toán các khoản phí quy định của nhà trường?

Thống kê truy cập
  • Đang truy cập100
  • Hôm nay1,137
  • Tháng hiện tại28,443
  • Tổng lượt truy cập4,112,847
Bạn đã không sử dụng Site, Bấm vào đây để duy trì trạng thái đăng nhập. Thời gian chờ: 60 giây